American BioChar Company
NAKED Char Soil Amendment - Granular
NAKED Char Soil Amendment - Granular
Couldn't load pickup availability
Granular pure activated BioChar
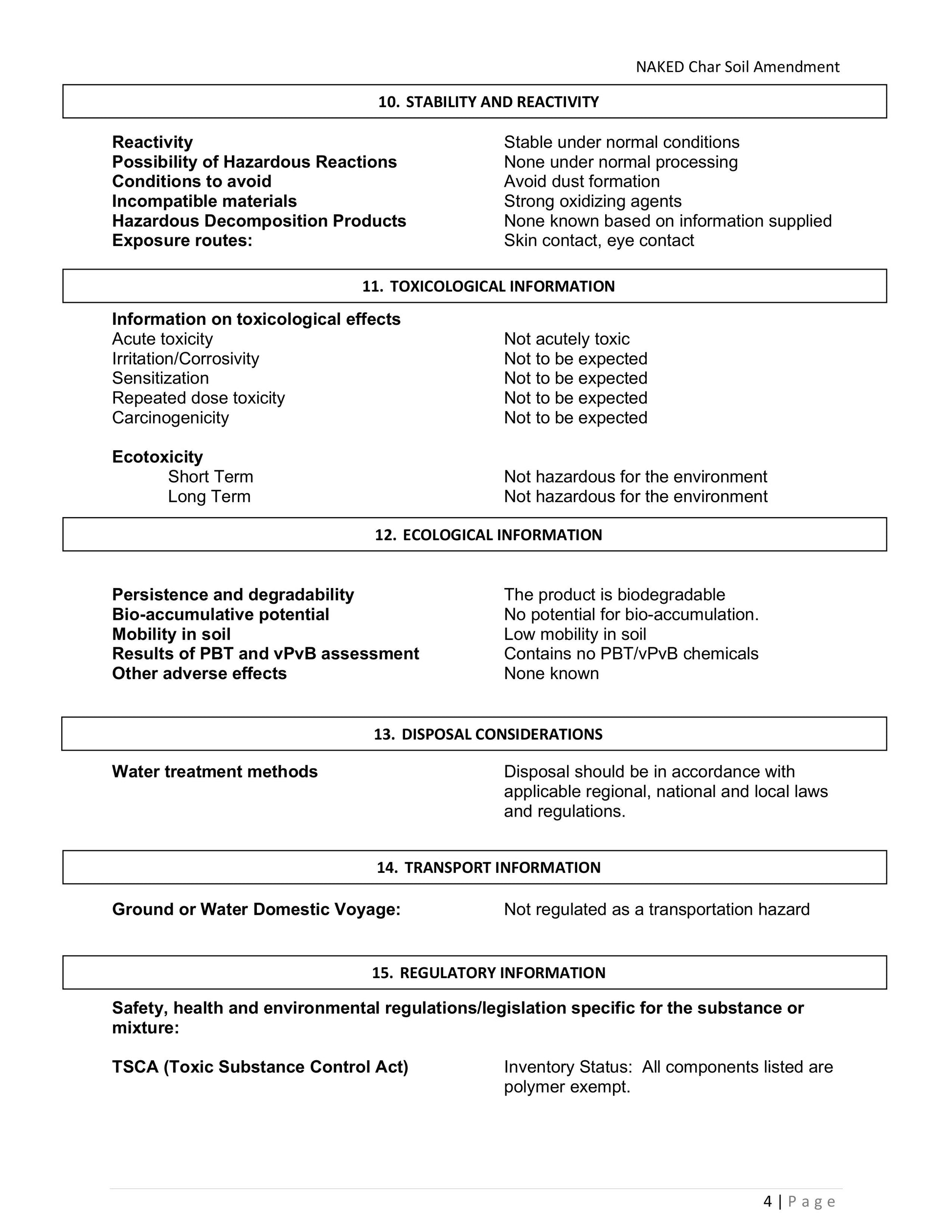
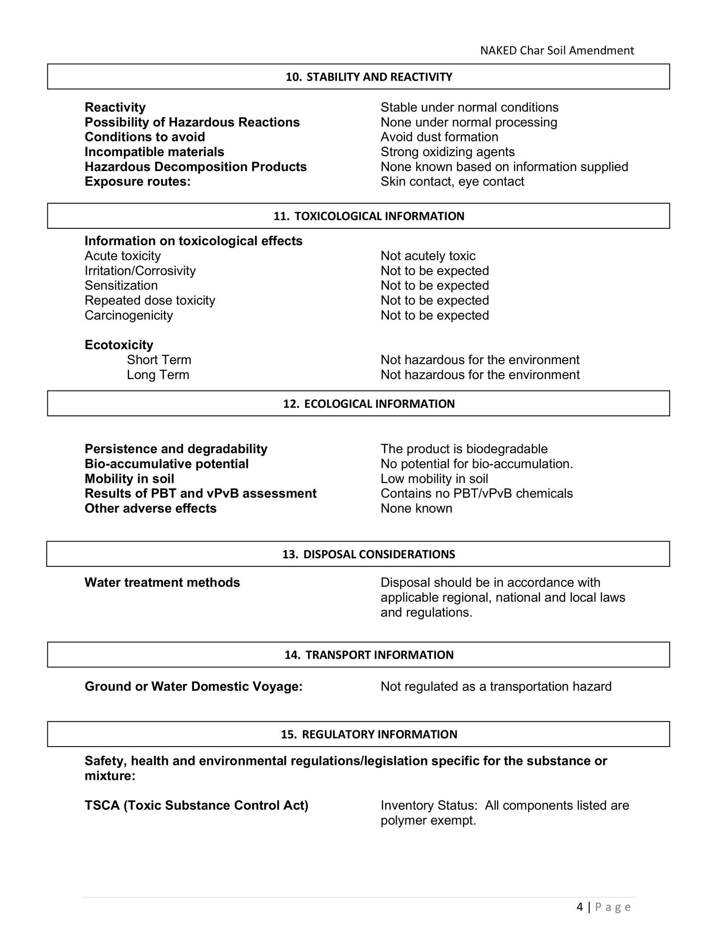
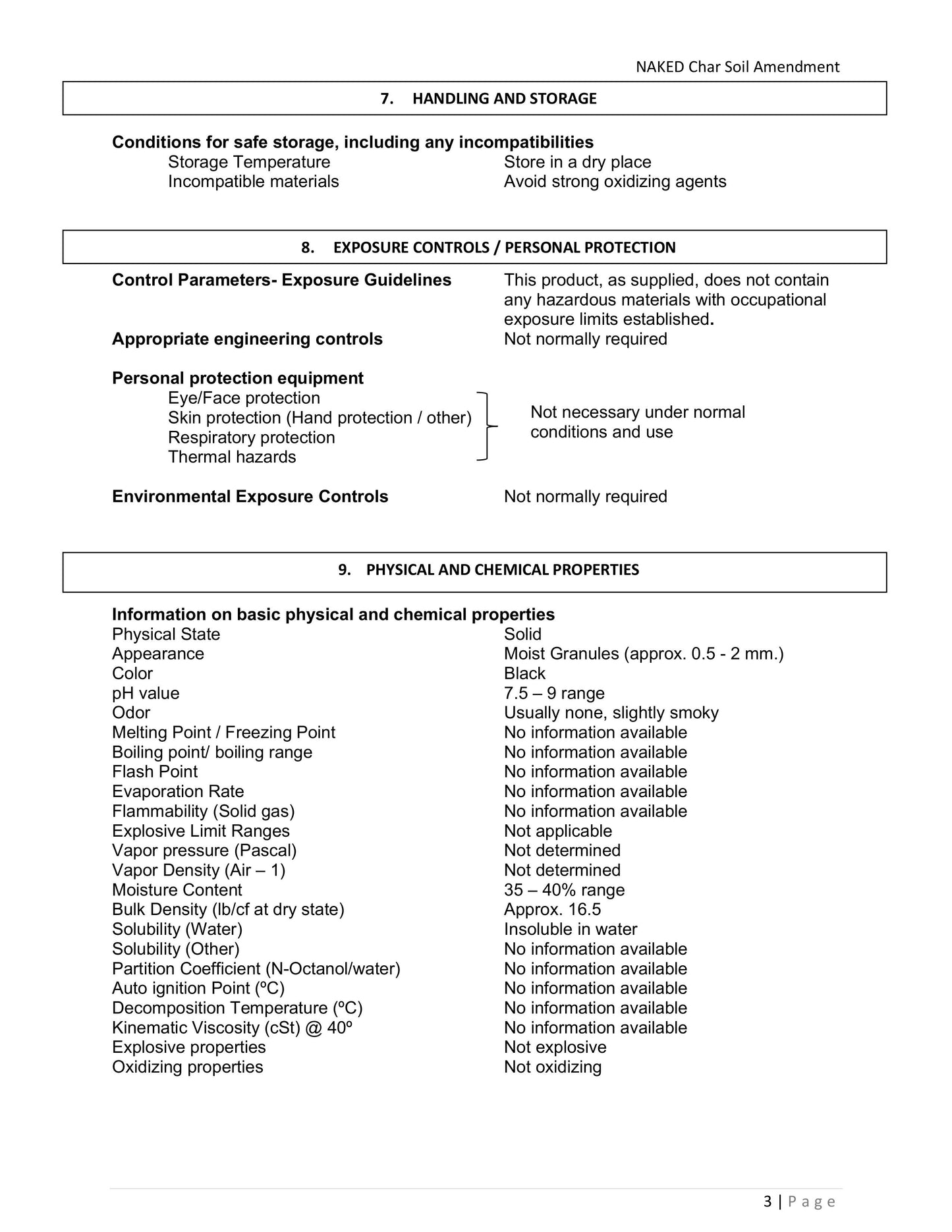
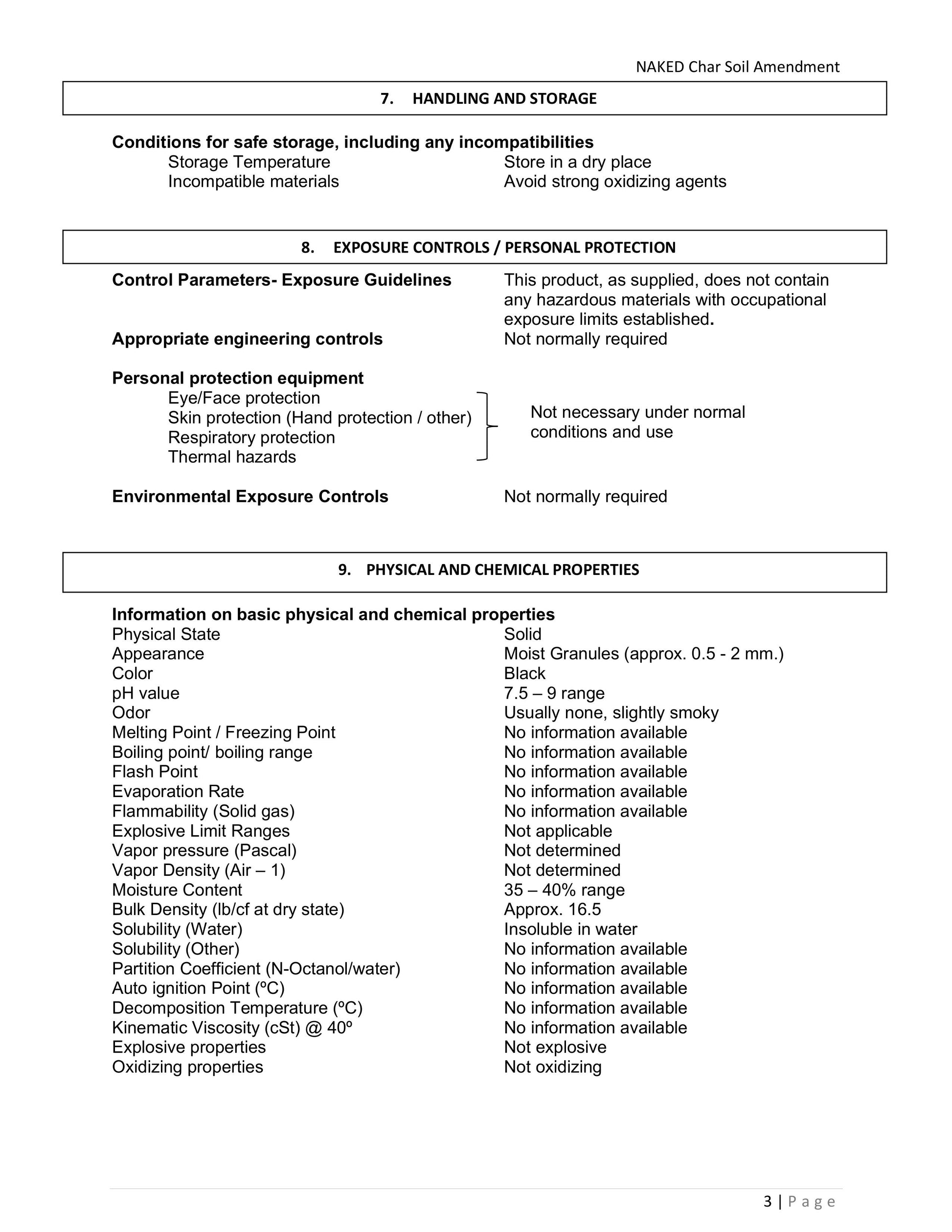
NAKED Char is made from recycled Southern Yellow Pine feedstock through “no oxygen” pyrolysis at an average temperature of 650 degrees Celsius (1202 degrees F). We finish the production with a unique final step that activates and exposes the internal surface area of the fixed carbon. By utilizing only single sourced softwood pine, we ensure quality and consistency of our BioChar. We are adamant about producing a BioChar with low ash content, high porosity, and nearly neutral pH. Our granular NAKED Char has a minimum of 25% moisture content, if a biochar is too dry then it can become hydrophobic.
BioChar is our middle name but our first priority. We chose softwood feedstock because porosity is so important. Just one cubic foot of our BioChar has over 690 acres of available surface area (pores), providing living accommodations for soil microbes and space for holding more water, oxygen and nutrients. Our BioChar will last over 600+ years. It is coffee ground sized and creates a nearly permanent structure that actively encourages healthy soil microbe populations.
The abundance of pores in NAKED Char, when used by itself, make it an extremely effective remediator and a great addition for water filtration systems. With great porosity comes great responsibility. Due to its impressive ability to adsorb and hold nutrients (reduce leaching), soil applications should be blended (pre-charged) to avoid nutrient tie-up. See our pre-charged soil amendments – VITAL Blend (granular) or VITAL Blend 5M (liquid)
It is OMRI Listed, IBI Certified and USDA BioPreferred.
Our BioChar is offered in both granular (NAKED Char) and (NAKED Char 5M) forms. Each can be used interchangeably, so your preferred method of application can determine which product you choose.
Benefits:
- Improves nutrient retention (less leaching) & reduces the need for fertilizers
- Increases water holding capacity
- Aids in water percolation through the soil
- Increases cation exchange capacity (CEC)
- Reduces soil compaction & increases soil organic matter (SOM)
- Increases survivability of newly planted and established trees, landscapes, and grasses and helps them continue to thrive
- Increases root growth – Increases soil biology – Reduces Erosion
- Adds a permanent structure to house soil microbes & nutrients (600+ years)
- Can be used as a liming agent
- Remediates contaminants, removes excess salts, and effectively filters water
- Sequesters carbon (reduce your carbon footprint)
Ingredients: pure granular BioChar
Examples of rates:
NOTE: The range of rates is dependent upon the size of the plant(s) & current soil conditions: good soils use less and poor soils need more. For agriculture/gardens if applied in furrow (right around plants) use lower rate or full broadcasted (entire field/garden) use higher rate. After a few years, rates can be reduced.
- Row & Specialty crop: 0.5 - 1.0 CY per acre
- Landscape & Garden Plants: 0.5 - 3 cups per plant
- Lawn & Garden: 0.25 - 0.75 cf per 1,000 sq. ft.
- Trees: 0.5 - 0.75 cups per inch circumference for trees or 1.5 - 2.5 cups per inch dbh (diameter)
- Remediation: double the suggested rate
Suggestions:
- IMPORTANT: Before soil applications, “charge” your NAKED Char with: compost, manure, fertilizers, Humate, etc.
- Check out our VITAL Blend, which is NAKED Char pre-charged with humate
- Reduce nutrients/fertilizer by 15-30% and more for later applications
- Reduce your watering schedule or the volume of water used
- Application frequencies can be 1 - 4 times a year (multiple applications should use the smallest rate)
Materials
Materials
Shipping & Returns
Shipping & Returns
Dimensions
Dimensions
Care Instructions
Care Instructions
Share



